

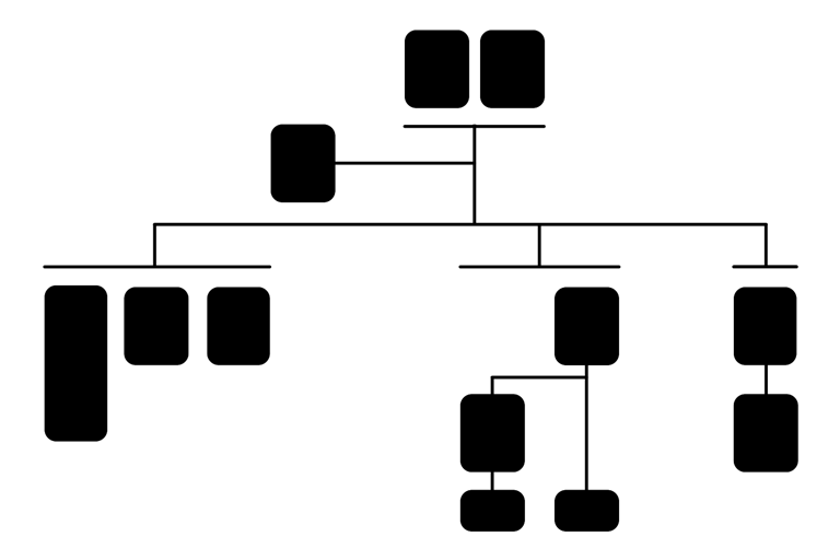
GERENCIA
VANINA - JUAN
SPORTE EXTERNO
MARKETING
MKT Redes / WEB
CONSULTORES
Libro Iva Ventas y Compras
Liquidacion de Impuestos
Registracion Contable /Balance
Carpetas bancarias
ADMINISTRACION
Responsable : Vanina
Cta Cte y Cobranzas (Clientes)
GUILIANA
Cuenta Corriente de Clientes
Cobranza (Reporte)
Paga a Proveedores Chicos
Paga Empleado Horas Extras
Carga de Sueldos en Banco
Calculo Comisiones por Ventas a Comercilaes
Facturacion de Ventas (arcas)
Seguimiento de Credito
Calculos de intereses por Mora
Emision de Cupones de Pago - Sistema Pagos Online
Emite Notas de debito
Pasa las Novedades al Contador
Legajos
Calculo de Horas Extras
Cargo Contrato en Cta Cte Drive
Revisa contrato
Recibo de Cobro (Sistema)
Seguimiento y registracion Cheques (Crtera)
Determinacion de Monto a Facturar
Ctas Ctes y Pagos (Proveedores)
ANA CAROLINA
Data Entry (Compras)
Data Entry (Contratos)
Remito de Ventas
Estado de Resultado ( Cassh Flow)
Control de Caja en las sucursales
Reporte de Ventas Hisotrico
Conciliaciones Bancarioas
Seguimiento de Gastos de las Sucursales
Ordenes de pago (Sistema)
Ejecuta el pago Mayores
Carga los Pagos ??
COMERCIO EXTERIOR
VANINA
Cta Cte de Proveedores
COMERCIAL
PRODUCCION
GUSTAVO
RODRIGO
Posventa. Nexo entra Caneales Web y Vendedores
Lista de Precios y condiciones de Ventas
Autorizacion de Expeciones de Ventas
Postventa
Capacita Vendedores
Nexo entra Caneales Web y Vendedores
Mercado Libre
Controla a las Sucrsulaes
Controla Stock de Sucursales
Gestiona los envios Piletas y acccesorios
Gestion de Reclamos
Venta de Otras Marcas ?
Responsible de Sucursal (Colastine)
INVENTARIO
VANESA
Carga Remito de Compra
Control de Stock de MP e Insumos
Prepara los Pedido de Compra de Insumos
Recepcionea la Mercaderia y Controla
Registra Consumo de Stock
Movimeinto Interno de insumos
SEBASTIAN
Toma los Pedido de los Distribuidores
Cobra a los Distribuidores
Cta Ctes de Distribuidores
Stock de Piletas
Resporte de Piletas Fabricadas
Logistica - Planificacion de Entregas
Venta de mostrador ( Sucursal)
DISTRIBUIDORES
Cuentas Corrientes de algunos distribuidores
Cobros a Distribuidores
SUCURSALES